| A math question. [message #255878] |
Thu, 26 April 2007 07:43  |
 |
jnz
Messages: 3396 Registered: July 2006 Location: 30th century
Karma: 0
|
General (3 Stars) |
|
|
This, imo is pretty tricky. It needs to be done, though, I'm hoping a lot of the people on these forums are as smart as they say they are. No, this is not homework or something just to test everyone. It is for a program i am making.
L = (X+S/2)*W/S)-((O*W)/100)
I need to find X when i know L. If someone could do this i would be very grateful.
[Updated on: Thu, 26 April 2007 07:43] Report message to a moderator
|
|
|
|
|
|
|
|
|
|
|
|
| Re: A math question. [message #255887 is a reply to message #255878] |
Thu, 26 April 2007 07:57   |
 |
jnz
Messages: 3396 Registered: July 2006 Location: 30th century
Karma: 0
|
General (3 Stars) |
|
|
I tried MathK1ll's and it didn't work. Just trying mrpirate's.
EDIT: mrpirate's didn't work. It looks like it needs half of the total value taken away. but thats just a guess.
[Updated on: Thu, 26 April 2007 08:02] Report message to a moderator
|
|
|
|
|
|
|
|
|
|
|
|
|
|
|
|
|
|
| Re: A math question. [message #255946 is a reply to message #255878] |
Thu, 26 April 2007 12:14   |
 |
Viking
Messages: 1692 Registered: July 2005 Location: Earth
Karma: 0
|
General (1 Star) |
|
|
AHHH! Math my brain hurts...
QUOTES
"The Renegade community revolves around having something awesome, and not sharing it so you can be on top of the mountain." -Canadacdn
| Crimson wrote on Thu, 17 May 2007 05:22 |
| Memphis wrote on Tue, 15 May 2007 03:54 | ...fatally die to death...
|
I don't know if you meant to do that, but triple redundancy for teh win. I LOL'ed.
|
Awesome l337 people= Icedog90, Blazea58, Canadacdn, Crimson, jonwil
|
|
|
|
|
|
| Re: A math question. [message #256631 is a reply to message #255966] |
Tue, 01 May 2007 10:15   |
 |
Jerad2142
Messages: 3828 Registered: July 2006 Location: USA
Karma: 6
|
General (3 Stars) |
|
|
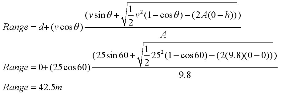
Can anyone give me a formula for how I would calculate what angle an artillery would have to aim at if I knew: gravity, speed of the projectile, distance away the object is from the artillery, height of the object compared to the artillery, and 0 air resistance. This is also for a program, or game more likely *cough*new AI for Renhalo*cough*.
Visit Jerad's deer sweat shop
[Updated on: Tue, 01 May 2007 10:15] Report message to a moderator
|
|
|
|
|
|
|
|
|
|
|
|
|
|
|
|
|
|
|
|
| Re: A math question. [message #256963 is a reply to message #255878] |
Thu, 03 May 2007 07:37   |
|
|
From what I remember, an SSE2 equipped CPU will run that calculation better (lots of extra maths instructions in there)
Edit - I can't spell!
Renguard is a wonderful initiative
Toggle Spoiler
| BBC news, quoting... |
Supporters of Proposition 8 will argue California does not discriminate against gays, as the current law allows them to get married - as long as they wed a partner of the opposite sex.
|
| halokid wrote on Mon, 11 October 2010 08:46 |
| R315r4z0r wrote on Mon, 11 October 2010 15:35 |

|
the hell is that?
|
[Updated on: Thu, 03 May 2007 07:37] Report message to a moderator
|
|
|
|